synonymes : fistule dermique ; sinus dermique ; dermal sinus ; dermal fistula
en 2 mots
les fistules dermiques spinales font courir un risque majeur d’infection méningée, et ce dès les premiers mois de vie. la question du risque d’infection n’est pas « si » mais « quand ». il faut donc opérer le plus tôt possible. le diagnostic n’est pas toujours faciles dans des formes atypiques qui peuvent être prises pour des fossettes banales.
anatomie pathologique
on trouve une lésion cutanée angiomateuse avec une fossette centrée par un ou plusieurs poils (A). l’IRM (B) montre un trajet sous-cutané qui pénètre jusqu’au rachis et se continue souvent en intra-dural. le trajet peut conduire à un kyste dermoïde correspondant à l’accumulation de squames d’épiderme (C), qui se situe dans les espaces arachnoïdiens ou au sein même de la moelle (graphique ci-dessus).
la fistule fait parfois partie d’un ensemble plus complexe avec agénésie sacrée, pouvant entrer dans le cadre d’un syndrome de Currarino., ou s’associer à des anomalies de segmentation vertébrale, notamment au niveau cervical.
diagnostic
il est clinique
Il est fait après la naissance devant une lésion cutanée médiane comprenant typiquement un angiome plan et une fossette centrée par un ou quelques poils, parfois une surélévation cutanée.
les marqueurs cutanés peuvent cependant être atypiques, et la fistule peut être diagnostiquée tardivement. il est donc important que l’examen néonatal soit minutieux et orienté.

pour comparer avec les fossettes atypiques non dysraphiques, rejoignez la page fossette atypique
les éléments cliniques qui permettent de distinguer la fistule d’une fossette coccygienne banale sont :
- la localisation en regard du rachis thoracique, lombaire ou sacré et non en regard de la pointe du coccyx
- l’anomalie cutanée qui comprend un angiome, une pilosité, parfois une tuméfaction
- l’association à une anomalie osseuse d’une apophyse épineuse

l’infection
trop souvent, quand la lésion a été méconnue, le diagnostic est fait devant une complication infectieuse, une suppuration cutanée ou plus souvent infection neuroméningée avec méningite et/ou myélite ; la survenue d’une infection méningée à germe cutané ou polymicrobienne doit faire rechercher une fistule dermique.

il existe par ailleurs souvent un syndrome rachidien important avec douleurs et/ou rigidité majeure en lordose.
le syndrome de masse
dans certains cas sans communication avec l’extérieur, le kyste dermoïde augmente de volume et se comporte comme une tumeur avec douleurs, déficit moteur et sphinctérien.
l’imagerie
permet de suivre le trajet sous-cutané qui se poursuit jusqu’à la dure-mère et est parfois visible en intra-dural.
elle montre souvent, mais pas toujours, une moelle basse, parfois un kyste dermoïde intradural.
il existe souvent des malformations de la moelle, avec un kyste syringomyélique
traitement
l’opération est réalisée sous microscope par une équipe entraînée, et doit obtenir

l’exérèse complète du trajet fistuleux. Dans les formes non compliquées il s’agit d’une chirurgie préventive réalisée dès l’âge d’un mois.
Dans les formes abcédées il s’agit d’une intervention urgente, si possible après refroidissement sous antibiotiques. le traitement est donc alors médico-chirurgical.
Lorsque la fistule est haut située (au dessus de la troisième lombaire), et si l’enfant a déjà atteint l’âge de la marche, il faut prévoir une immobilisation par corset ou minerve pour éviter une déformation post-opératoire (cyphose, scoliose).
devenir
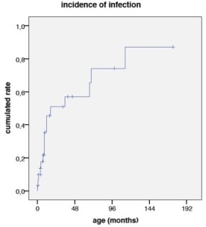
si la fistule n’est pas opérée précocement, le risque d’infection est majeur, il est durée-dépendant : la question n’est pas si mais quand.
dans les formes compliquées de méningite ou de myélite, il peut y avoir les séquelles de toute méningite bactérienne en particulier au plan sensoriel ou cognitif, parfois moteur, parfois une hydrocéphalie. En cas de forme diagnostiquée au stade myélite, le risque de séquelles lourdes (paraplégie avec troubles sphinctériens, scoliose) voire de maladie évolutive (syringomyélie).
il est donc fondamental que ces lésions soient dépistées à la naissance et traitées de façon prophylactique.




Commentaires récents